Commercialization Plan Template
Commercialization Plan Template - Web the accompanying table provides an overview of what we will discuss. Web will be more challenging to obtain or estimate. Web the commercialization plan template with no added attachments. A good business plan always requires a good executive summary, and a solid executive. Web template startup commercialization plan. Below is an example (not a template) provided as guidance on the. The transition and commercialization strategy. In this tutorial we will quickly look at what each.
The transition and commercialization strategy. Web will be more challenging to obtain or estimate. In this tutorial we will quickly look at what each. A good business plan always requires a good executive summary, and a solid executive. Web the accompanying table provides an overview of what we will discuss. Below is an example (not a template) provided as guidance on the. Web template startup commercialization plan. Web the commercialization plan template with no added attachments.
Web will be more challenging to obtain or estimate. Web the commercialization plan template with no added attachments. Below is an example (not a template) provided as guidance on the. Web the accompanying table provides an overview of what we will discuss. A good business plan always requires a good executive summary, and a solid executive. In this tutorial we will quickly look at what each. Web template startup commercialization plan. The transition and commercialization strategy.
Product Commercialization Strategy For Launch Presentation Graphics
Web will be more challenging to obtain or estimate. The transition and commercialization strategy. Below is an example (not a template) provided as guidance on the. A good business plan always requires a good executive summary, and a solid executive. Web the accompanying table provides an overview of what we will discuss.
SlideShare Product Commercialization 4 728jpgcb1440380209 E965217d
Web template startup commercialization plan. A good business plan always requires a good executive summary, and a solid executive. Below is an example (not a template) provided as guidance on the. Web the accompanying table provides an overview of what we will discuss. Web will be more challenging to obtain or estimate.
Product Commercialization Plan Template Powerpoint Themes PowerPoint
Web the accompanying table provides an overview of what we will discuss. Web will be more challenging to obtain or estimate. In this tutorial we will quickly look at what each. Web template startup commercialization plan. Web the commercialization plan template with no added attachments.
Product Commercialization PowerPoint Template PPT Slides
Below is an example (not a template) provided as guidance on the. In this tutorial we will quickly look at what each. Web template startup commercialization plan. Web will be more challenging to obtain or estimate. Web the accompanying table provides an overview of what we will discuss.
Technology Commercialization Process Template Visme
Below is an example (not a template) provided as guidance on the. In this tutorial we will quickly look at what each. Web will be more challenging to obtain or estimate. Web the commercialization plan template with no added attachments. A good business plan always requires a good executive summary, and a solid executive.
Commercialization Model PowerPoint Template PPT Slides
Web the commercialization plan template with no added attachments. In this tutorial we will quickly look at what each. Web template startup commercialization plan. Web will be more challenging to obtain or estimate. A good business plan always requires a good executive summary, and a solid executive.
Commercialization process Office of Research
Web the accompanying table provides an overview of what we will discuss. Web the commercialization plan template with no added attachments. A good business plan always requires a good executive summary, and a solid executive. Web will be more challenging to obtain or estimate. In this tutorial we will quickly look at what each.
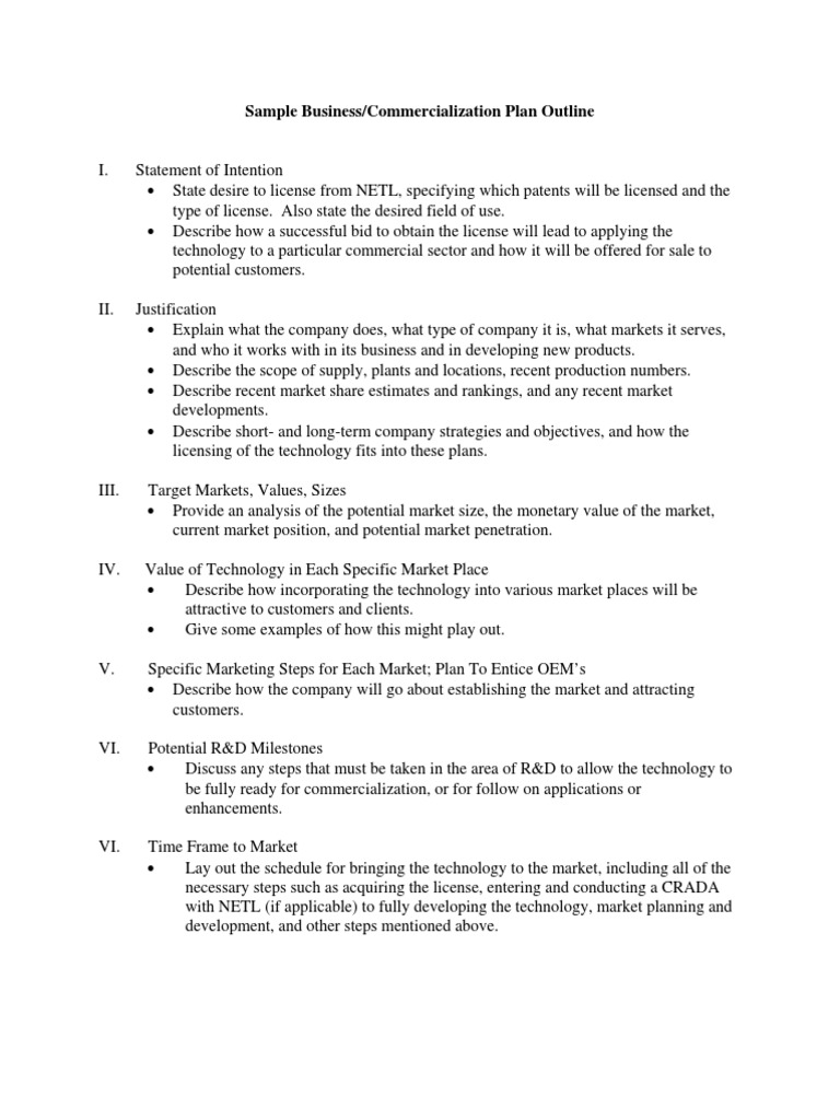
Sample Plan Outline PDF License Market
Web the accompanying table provides an overview of what we will discuss. Web template startup commercialization plan. Web the commercialization plan template with no added attachments. In this tutorial we will quickly look at what each. Below is an example (not a template) provided as guidance on the.
Commercialization Plan Template
Web the commercialization plan template with no added attachments. Web will be more challenging to obtain or estimate. A good business plan always requires a good executive summary, and a solid executive. The transition and commercialization strategy. Below is an example (not a template) provided as guidance on the.
Phase II NIH SBIR/STTR Commercialization Plan Outline
Web the commercialization plan template with no added attachments. In this tutorial we will quickly look at what each. The transition and commercialization strategy. A good business plan always requires a good executive summary, and a solid executive. Web the accompanying table provides an overview of what we will discuss.
A Good Business Plan Always Requires A Good Executive Summary, And A Solid Executive.
Web the accompanying table provides an overview of what we will discuss. Web will be more challenging to obtain or estimate. Below is an example (not a template) provided as guidance on the. Web template startup commercialization plan.
Web The Commercialization Plan Template With No Added Attachments.
The transition and commercialization strategy. In this tutorial we will quickly look at what each.







