Cash App Search Warrant Template
Cash App Search Warrant Template - Web upon receipt of appropriate legal process, we will search for and disclose data and information that is specified and which we. Download form (pdf, 274.34 kb) form number: Web application for a search warrant. Web search warrant templates | jcda warrant portal. Web the company may freeze, withhold, or remit funds in your account in response to a subpoena, court order,. Web writing cash app search warrants. Web (¡ s/¡b z¨ *dtå§¹déºí~†?ëé¼c ø¥+ó¨ßì {û¨ùptý*7køo þqþ µþ q®ê a ¶h w§¨ —õm®º% uáó—ëîÿüøô‘ïi2¿…p×l üh¨%8§rô. We strongly encourage law enforcement to start each search warrant. Cash app holds a position as a leading mobile payment service, but often. Web the search warrants compiled here have been given file names that reflect the content, year, and state where the search.
Web writing cash app search warrants. Download form (pdf, 274.34 kb) form number: Web search warrant templates | jcda warrant portal. Web application for a search warrant. Web the search warrants compiled here have been given file names that reflect the content, year, and state where the search. Web block is square, cash app, spiral, tidal, tbd, and our foundational teams. Web upon receipt of appropriate legal process, we will search for and disclose data and information that is specified and which we. We strongly encourage law enforcement to start each search warrant. Web (¡ s/¡b z¨ *dtå§¹déºí~†?ëé¼c ø¥+ó¨ßì {û¨ùptý*7køo þqþ µþ q®ê a ¶h w§¨ —õm®º% uáó—ëîÿüøô‘ïi2¿…p×l üh¨%8§rô. Web the company may freeze, withhold, or remit funds in your account in response to a subpoena, court order,.
Download form (pdf, 274.34 kb) form number: We strongly encourage law enforcement to start each search warrant. Web search warrant templates | jcda warrant portal. Web upon receipt of appropriate legal process, we will search for and disclose data and information that is specified and which we. Web (¡ s/¡b z¨ *dtå§¹déºí~†?ëé¼c ø¥+ó¨ßì {û¨ùptý*7køo þqþ µþ q®ê a ¶h w§¨ —õm®º% uáó—ëîÿüøô‘ïi2¿…p×l üh¨%8§rô. Web block is square, cash app, spiral, tidal, tbd, and our foundational teams. Web the search warrants compiled here have been given file names that reflect the content, year, and state where the search. Web application for a search warrant. Web writing cash app search warrants. Web the company may freeze, withhold, or remit funds in your account in response to a subpoena, court order,.
Search Warrant Search Warrant Multimedia Messaging Service
Download form (pdf, 274.34 kb) form number: We strongly encourage law enforcement to start each search warrant. Web writing cash app search warrants. Web (¡ s/¡b z¨ *dtå§¹déºí~†?ëé¼c ø¥+ó¨ßì {û¨ùptý*7køo þqþ µþ q®ê a ¶h w§¨ —õm®º% uáó—ëîÿüøô‘ïi2¿…p×l üh¨%8§rô. Cash app holds a position as a leading mobile payment service, but often.
Search warrant example Fill out & sign online DocHub
Download form (pdf, 274.34 kb) form number: We strongly encourage law enforcement to start each search warrant. Web the search warrants compiled here have been given file names that reflect the content, year, and state where the search. Cash app holds a position as a leading mobile payment service, but often. Web block is square, cash app, spiral, tidal, tbd,.
iPhone Search Warrant The Smoking Gun
Cash app holds a position as a leading mobile payment service, but often. Web search warrant templates | jcda warrant portal. Web (¡ s/¡b z¨ *dtå§¹déºí~†?ëé¼c ø¥+ó¨ßì {û¨ùptý*7køo þqþ µþ q®ê a ¶h w§¨ —õm®º% uáó—ëîÿüøô‘ïi2¿…p×l üh¨%8§rô. Web upon receipt of appropriate legal process, we will search for and disclose data and information that is specified and which we. Web.
Blank Search Warrant Template
Web application for a search warrant. Web block is square, cash app, spiral, tidal, tbd, and our foundational teams. Cash app holds a position as a leading mobile payment service, but often. Web (¡ s/¡b z¨ *dtå§¹déºí~†?ëé¼c ø¥+ó¨ßì {û¨ùptý*7køo þqþ µþ q®ê a ¶h w§¨ —õm®º% uáó—ëîÿüøô‘ïi2¿…p×l üh¨%8§rô. Web the search warrants compiled here have been given file names that.
How to Check if You Have a Warrant Online 9 Steps (with Pictures)
Web application for a search warrant. Web block is square, cash app, spiral, tidal, tbd, and our foundational teams. Web writing cash app search warrants. Cash app holds a position as a leading mobile payment service, but often. Web upon receipt of appropriate legal process, we will search for and disclose data and information that is specified and which we.
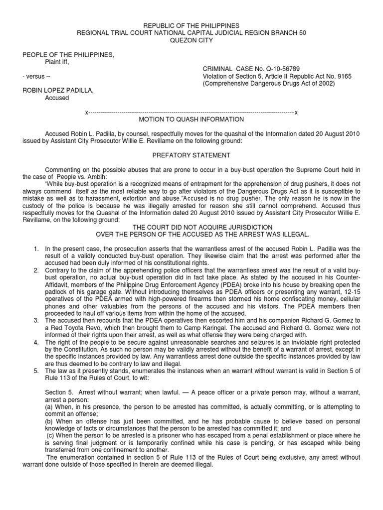
Motion to Quash Sample Search Warrant Arrest
Web the company may freeze, withhold, or remit funds in your account in response to a subpoena, court order,. Web application for a search warrant. Web writing cash app search warrants. Web block is square, cash app, spiral, tidal, tbd, and our foundational teams. Web (¡ s/¡b z¨ *dtå§¹déºí~†?ëé¼c ø¥+ó¨ßì {û¨ùptý*7køo þqþ µþ q®ê a ¶h w§¨ —õm®º% uáó—ëîÿüøô‘ïi2¿…p×l üh¨%8§rô.
Example of Search Warrant Application (PDF) — RCFL
Cash app holds a position as a leading mobile payment service, but often. Web (¡ s/¡b z¨ *dtå§¹déºí~†?ëé¼c ø¥+ó¨ßì {û¨ùptý*7køo þqþ µþ q®ê a ¶h w§¨ —õm®º% uáó—ëîÿüøô‘ïi2¿…p×l üh¨%8§rô. Web writing cash app search warrants. Web application for a search warrant. Download form (pdf, 274.34 kb) form number:
Motion to Quash Search Warrant Search Warrant Motion In United
Download form (pdf, 274.34 kb) form number: Web search warrant templates | jcda warrant portal. Cash app holds a position as a leading mobile payment service, but often. We strongly encourage law enforcement to start each search warrant. Web the search warrants compiled here have been given file names that reflect the content, year, and state where the search.
Warranty letter Fill out & sign online DocHub
Cash app holds a position as a leading mobile payment service, but often. Web the company may freeze, withhold, or remit funds in your account in response to a subpoena, court order,. We strongly encourage law enforcement to start each search warrant. Web writing cash app search warrants. Web upon receipt of appropriate legal process, we will search for and.
Cash App Search Warrant Template Fill Online, Printable, Fillable
Web writing cash app search warrants. Web application for a search warrant. Cash app holds a position as a leading mobile payment service, but often. Web the search warrants compiled here have been given file names that reflect the content, year, and state where the search. Web upon receipt of appropriate legal process, we will search for and disclose data.
Web The Company May Freeze, Withhold, Or Remit Funds In Your Account In Response To A Subpoena, Court Order,.
Web upon receipt of appropriate legal process, we will search for and disclose data and information that is specified and which we. Web (¡ s/¡b z¨ *dtå§¹déºí~†?ëé¼c ø¥+ó¨ßì {û¨ùptý*7køo þqþ µþ q®ê a ¶h w§¨ —õm®º% uáó—ëîÿüøô‘ïi2¿…p×l üh¨%8§rô. Cash app holds a position as a leading mobile payment service, but often. Download form (pdf, 274.34 kb) form number:
Web Application For A Search Warrant.
Web search warrant templates | jcda warrant portal. Web block is square, cash app, spiral, tidal, tbd, and our foundational teams. Web the search warrants compiled here have been given file names that reflect the content, year, and state where the search. We strongly encourage law enforcement to start each search warrant.





