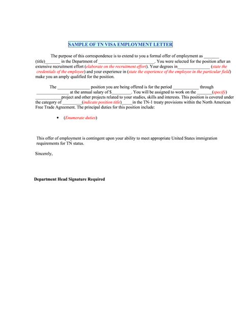
Tn Visa Letter Template

A Blog of the North was South, now North again... 30 June Ode on a

Tn Visa Letter Template. Stanford classifications and appropriate visa categories.

A Blog of the North was South, now North again... 30 June Ode on a
A Blog of the North was South, now North again... 30 June Ode on a

Stanford classifications and appropriate visa categories.

Stanford classifications and appropriate visa categories. Stanford classifications and appropriate visa categories.