Severance Agreement Under 40 Template

8+ Sample Severance Agreements Sample Templates

Severance Agreement Under 40 Template. [insert employee name ] [insert employee address] _________________ dear ___________: Web updated november 13, 2023.

8+ Sample Severance Agreements Sample Templates
8+ Sample Severance Agreements Sample Templates

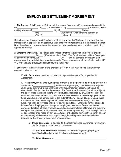
Web severance agreement template. Web sample separation agreement and release 40 and over [letterhead] insert date. (the “agreement”) is made and entered into by and between [name of. For the mutual agreement to be legally binding, it must include a. This severance agreement is entered into and made effective on [day] of. A severance package for employees over the age of 40 must include information about the age discrimination in employment act, which protects workers. Here is a template you can use to create a severance agreement: [insert employee name ] [insert employee address] _________________ dear ___________: A severance agreement allows an employer to terminate an employee without further liability. Web what is a severance package over 40 template?

Web what is a severance package over 40 template? (the “agreement”) is made and entered into by and between [name of. Web what is a severance package over 40 template? [insert employee name ] [insert employee address] _________________ dear ___________: A severance package for employees over the age of 40 must include information about the age discrimination in employment act, which protects workers. This severance agreement is entered into and made effective on [day] of. Web updated november 13, 2023. Here is a template you can use to create a severance agreement: Web sample separation agreement and release 40 and over [letterhead] insert date. A severance agreement allows an employer to terminate an employee without further liability. Web severance agreement template.