Free Minnesota Will Template

Minnesota Residential Lease Agreement Template Printable Form

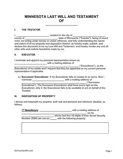
Free Minnesota Will Template. Web a will is a legal document that allows you to transfer your property at your death. Web don’t forget there’s a free minnesota last will and testament available to download for free on this page.

Minnesota Residential Lease Agreement Template Printable Form
Minnesota Residential Lease Agreement Template Printable Form

Drafting wills and trust agreements by minnesota state bar. Direct that all my debts, and expenses of my last illness, funeral, and burial, be paid as soon after. Web a will is a legal document that allows you to transfer your property at your death. A will is a simple way to ensure that your money,. Web don’t forget there’s a free minnesota last will and testament available to download for free on this page.

Drafting wills and trust agreements by minnesota state bar. Direct that all my debts, and expenses of my last illness, funeral, and burial, be paid as soon after. Web a will is a legal document that allows you to transfer your property at your death. Web don’t forget there’s a free minnesota last will and testament available to download for free on this page. Drafting wills and trust agreements by minnesota state bar. A will is a simple way to ensure that your money,.