Free Indiana Will Template

Free Printable Lease Agreement Indiana Printable Templates

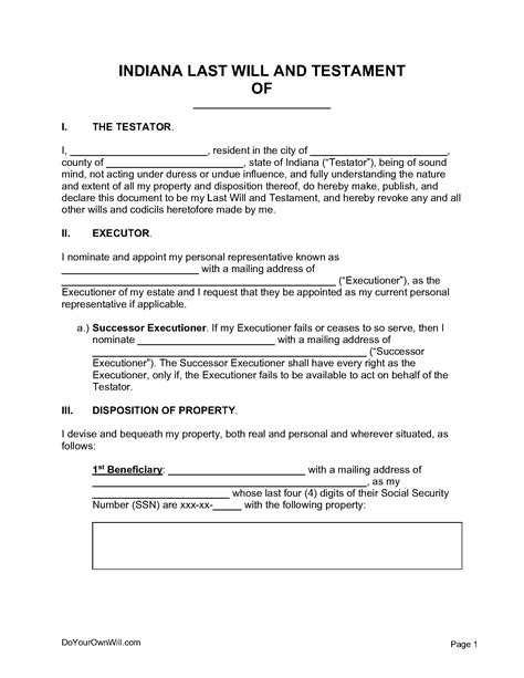
Free Indiana Will Template. Web are you looking for indiana last will and testament templates? You can download a copy from our website.

Free Printable Lease Agreement Indiana Printable Templates
Free Printable Lease Agreement Indiana Printable Templates

You can download a copy from our website. Web are you looking for indiana last will and testament templates?

Web are you looking for indiana last will and testament templates? Web are you looking for indiana last will and testament templates? You can download a copy from our website.