Steel Sheet Sizes Chart

Sb Iron WorksSheets

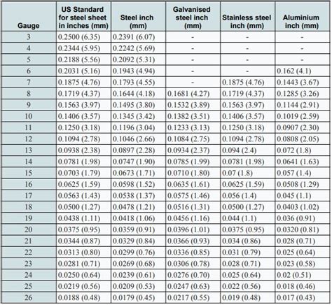
Steel Sheet Sizes Chart. Web 38 rows the chart below can be used to determine the equivalent sheet thickness, in inches or.

Sb Iron WorksSheets
Sb Iron WorksSheets

Web 38 rows the chart below can be used to determine the equivalent sheet thickness, in inches or.

Web 38 rows the chart below can be used to determine the equivalent sheet thickness, in inches or. Web 38 rows the chart below can be used to determine the equivalent sheet thickness, in inches or.