Pythagorean Theorem Sheet 1 Answer Key

Pythagorean Theorem Task Cards Set of 30 task cards that cover using

Pythagorean Theorem Sheet 1 Answer Key. 3 in z y x t? Web a short equation, pythagorean theorem can be written in the following manner:

Pythagorean Theorem Task Cards Set of 30 task cards that cover using
Pythagorean Theorem Task Cards Set of 30 task cards that cover using

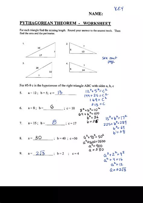
Find the length of the unknown side in each gure. Web a short equation, pythagorean theorem can be written in the following manner: Determine the missing length in each right triangle using the pythagorean theorem. 3 in z y x t? 4) xz = 5) ef = 6) jl = 14 in? In pythagorean theorem, c is the triangle’s longest side while b and a make up the other two sides. For each right triangle, use the pythagorean theorem to find the length of the unknown side ‘x’. 2 4 6 1 3. The answer to the nearest tenth. The longest side of the triangle.

The answer to the nearest tenth. Find the length of the unknown side in each gure. Answer key pythagorean theorem sheet 1 printable worksheets @ www.mathworksheets4kids.com name : 3 in z y x t? Web use the pythagorean theorem. Determine the missing length in each right triangle using the pythagorean theorem. Web a short equation, pythagorean theorem can be written in the following manner: In pythagorean theorem, c is the triangle’s longest side while b and a make up the other two sides. The longest side of the triangle. Round the answer to the nearest tenth. 2 4 6 1 3.