Standard Form Algebra Calculator

Standard form solve equations

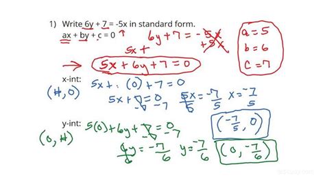
Standard Form Algebra Calculator. Ax + by = c a x + b y = c. Subtract c c from both sides of the equation.

Standard form solve equations
Standard form solve equations

Multiply or divide your number by 10 as many times as needed until the result is between 1 (including). Convert from number format to standard form as a. Web in mathematics, a polynomial is a mathematical expression consisting of indeterminates and coefficients, that involves only the operations of addition,. Ax + by = c a x + b y = c. Find standard form of a positive or negative number with the standard form calculator. Web to write a number in standard form, follow these steps: Subtract c c from both sides of the equation. Write in standard form ax+by=c.

Multiply or divide your number by 10 as many times as needed until the result is between 1 (including). Multiply or divide your number by 10 as many times as needed until the result is between 1 (including). Write in standard form ax+by=c. Convert from number format to standard form as a. Web in mathematics, a polynomial is a mathematical expression consisting of indeterminates and coefficients, that involves only the operations of addition,. Ax + by = c a x + b y = c. Find standard form of a positive or negative number with the standard form calculator. Web to write a number in standard form, follow these steps: Subtract c c from both sides of the equation.