Cos X In Exponential Form

C Practical and Assignment Programscos(x) YouTube

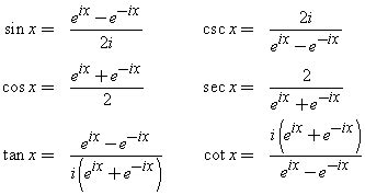
Cos X In Exponential Form. $\exp z$ denotes the exponential function $\cos z$.

C Practical and Assignment Programscos(x) YouTube
C Practical and Assignment Programscos(x) YouTube

$\exp z$ denotes the exponential function $\cos z$.

$\exp z$ denotes the exponential function $\cos z$. $\exp z$ denotes the exponential function $\cos z$.